设为首页收藏

中文
当前位置:首页>>组内新闻
Angew. Chem.:基于碳-硫键活化实现无水室温Suzuki-Miyaura聚合

供体-受体型共轭聚合物由于能级易调控、高电荷传输特性、可溶液加工等优异性能,在有机光电材料领域发挥着至关重要的作用。目前,其合成主要依赖如StilleSuzuki-Miyaura以及直接芳基化聚合等过渡金属催化的交叉偶联反应,其中,Suzuki-Miyaura聚合由于具有低毒性及反应条件温和等优点,近年来逐渐成为构建碳-碳键的一种高效合成方法。然而,杂芳基硼酸酯的易原位脱硼以及传统芳基卤化物易自偶联产生结构缺陷一定程度上限制了Suzuki-Miyaura聚合的应用及发展。


近年来,课题组致力于开发基于C-S键活化的合成方法学研究(Nat. Chem. 2017, 9, 188; Inorg. Chem. 2018, 57, 9266; Angew. Chem. Int. Ed. 2019, 58, 5044; Chem. Eur. J. 2022, 28, e202200869.)。最新研究发现,以芳香硫醚作为底物替代芳基卤化物进行Stille型聚合或直接芳基化聚合,可以制备出结构更加规整、电荷传输性能更优异的交替共轭聚合物(Nat. Commun. 2022, 13, 144; Angew. Chem. Int. Ed. 2023, e202306307.),并将之命名为CASPcarbon and sulfur bond activation based polymerization)聚合。在此基础上,课题组报道了芳基硫醚与(杂)芳基硼酸酯之间的无水室温Suzuki-Miyaura交叉偶联反应(CAS-Suzuki-Miyaura聚合),研究发现室温和无水条件分别有效地降低了自偶联和原位脱硼的发生,成功合成了30个小分子和12个共轭聚合物,并有效提高了聚合物的光电性质。


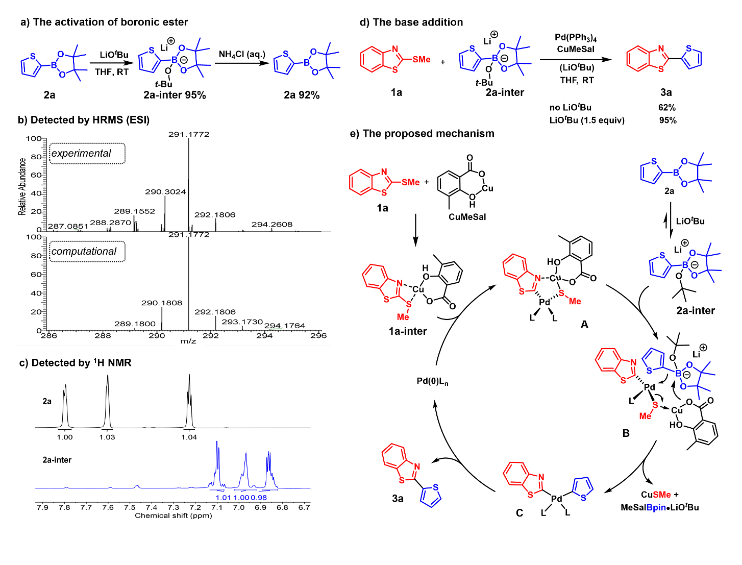
1.png


首先,作者以芳基硫醚与(杂)芳基硼酸酯为底物优化了反应条件,通过1H NMRHRMS验证得到了四配位硼酸盐复合物,提出依次经过氧化加成-转金属-还原消除的反应机理。

5.png

在最优条件下,作者对(杂)芳基硼酸酯与芳基硫化物的适用范围进行了考察。结果表明,该反应对取代基在不同位置的杂芳基硼酸酯都能得到较好的结果,并且对取代的芳基硫化物也具有较好的兼容性,得到较高产率的交叉偶联产物。


3.png


在小分子反应基础上,作者拓展了该偶联方法在聚合反应中的应用,制备的聚合物数均分子量最高可达38.6 kDa。作者以聚合物P10为例,验证了在室温下合成的聚合物P10-RT比高温(70 oC)下合成的P10-70oC具有更低的自偶联缺陷、更少的缺陷态密度和更高的空穴迁移率。


4.png


综上,该工作发展了基于碳-硫键活化的Suzuki-Miyaura方法,为合成低缺陷、高性能的有机/高分子半导体材料提供了新的合成策略。


中国科学院大学材料科学与光电技术学院硕士研究生文轩、中国科学院大学特别研究助理(博士后)谢文斌博士为论文共同第一作者,中国科学院大学黄辉教授、史钦钦副教授和彭爱东副教授为通讯作者。研究工作得到了国家自然科学基金委员会、国家重点研发计划、中国科学院重点资助项目、以及中央高校基本科研业务费专项资金资助的资助。

 

论文信息:

Room Temperature Anhydrous Suzuki-Miyaura Polymerization Enabled by C–S Bond Activation

Xuan Wen,† Wenbin Xie,† Yawen Li, Xiaoying Ma, Zhaoying Liu, Xiao Han, Kaikai Wen, Fengjiao Zhang, Yuze Lin, Qinqin Shi,* Aidong Peng,* Hui Huang*

Angewandte Chemie International Edition

DOI: 10.1002/anie.202309922


1760