设为首页收藏

中文
当前位置:首页>>组内新闻
基于C-S键活化的高效室温Stille型交叉偶联制备聚合物半导体材料

  共轭聚合物具有化学结构易修饰、能带及光谱可调等优势,在有机光电子领域潜力巨大。目前,共轭聚合物的合成主要通过Suzuki、Stille、直接芳基化聚合等交叉偶联方法制备。然而,这些聚合反应普遍在高温条件下进行,不仅消耗能量,而且还会在聚合物中产生难以分离的均聚结构缺陷,从而显著降低材料质量和器件性能。相比高温反应,室温反应有利于降低均聚结构缺陷。在聚合物半导体合成中,目前只有活性聚合或自由基聚合等方法可以实现均聚化合物的制备,化学选择性问题是限制该方法制备交替共轭聚合物的主要问题。因此开发室温交叉偶联新方法,对于降低成本,提高材料品质具有非常重要的研究意义。

   中国科学院大学黄辉团队在碳-硫键活化深入研究的基础上(Nat. Chem., 2017, 9, 188. Inorg. Chem., 2018, 57, 9266.),2019年首次将芳香硫醚作为替代芳基卤化物的亲电试剂,应用于有机半导体合成中(Angew. Chem. Int. Ed. 2019, 58, 5044)。芳香硫醚作为亲电试剂,具有独特的反应特性,诸如官能团耐受范围广,因此该策略适用于合成各种有机半导体材料;此外,尽管碳-硫键易于毒化催化剂,合成难度大,但有效的催化剂、添加剂策略仍然可以促进碳-碳键的高效形成(Liebeskind-Srogl Coupling);最后,室温下碳-硫键发生自偶联的概率远低于碳-卤键,所以适合无均聚结构缺陷聚合物的合成。因此,发展碳-硫键活化对于发展共轭高分子的设计与制备具有指导意义。

   近期,黄辉/史钦钦团队与美国西北大学Tobin J. Marks教授等课题组合作开发了一种以芳基二硫醚为亲电试剂的室温Stille型交叉偶联聚合方法学。该方法比传统的热激活的Stille偶联反应具有更快的聚合速率和更少的自偶联缺陷,而且底物广泛,是制备聚合物半导体材料的新方法。

61e0000f30702.jpg


图1. C-S键制备聚合物新方法,及与经典热活化制备半导体材料的差别

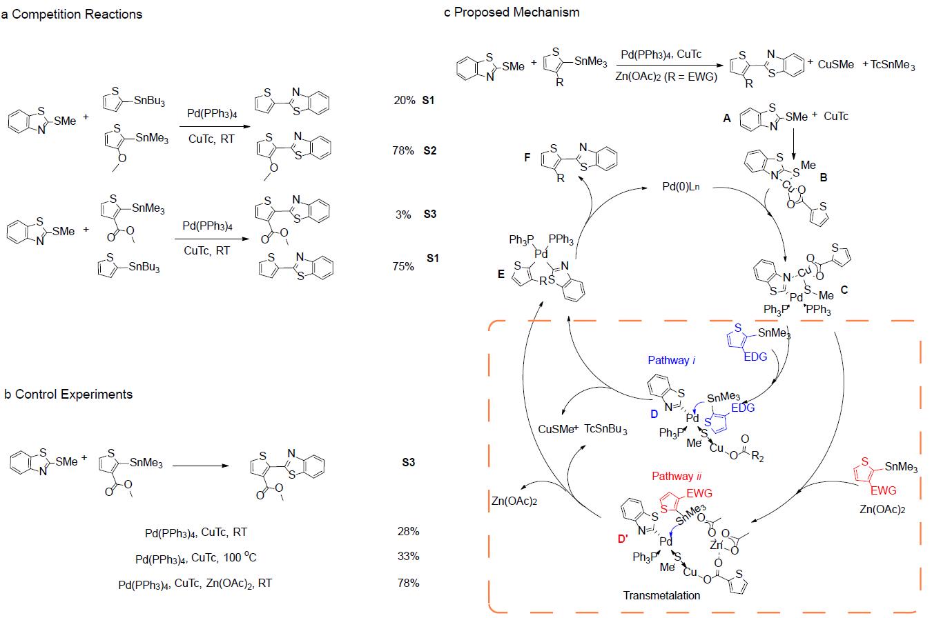
   为了进一步理解碳-硫键反应过程中控制反应进行的关键因素,作者通过小分子竞争实验,以及对照试验研究,表明反应的决速步骤主要在于转金属反应历程,并且验证了给电子能力更强的亲核试剂反应速率快,产率高,最后提出了该方法的反应机理。

61e0003c1e39d.jpg

 


图2. 机理研究:(a)竞争反应;(b)对照实验研究;(c) 基于C-S断裂的交叉偶联机理。

   为了进一步说明新方法较传统Stille偶联制备有机聚合物半导体的优势,作者与化学研究所林禹泽研究员,中国科学院大学张凤娇副教授在材料结构缺陷态、材料薄膜缺陷态密度、及有机电子器件性能方面进行了合作,验证了该方法制备高品质聚合物半导体材料的优势。

61e000770fc84.jpg


图3. 缺陷的研究:(a)自偶联副反应研究; (b) P2-CS(室温C-S活化)、P2-CI(传统Stille)和PBBT(均聚结构缺陷)的分子结构; (c) P2-CS、P2-CI和PBBT的核磁谱图(9.0 ~ 6.5 ppm); (d) P2-CS和P2-CI薄膜缺陷态密度(tDOS); (e) P2-CS薄膜的OFET转移曲线; (f) P2-CI薄膜的OFET转移曲线。

   综上,该项工作发展了首个利用碳-硫键活化的Stille交叉偶联聚合。在温和的反应条件下,制备了一系列高温Stille反应难以获得的聚合物半导体材料,从而为合成低成本,高性能的有机/高分子半导体材料提供了新的研究思路。

  相关成果以”Efficient Room Temperature Catalytic Synthesis of Alternating Conjugated Copolymers via C-S Bond Activation.”为题发表在Nat. Commun.上,中国科学院大学博士研究生李子杰为第一作者,史钦钦副教授为本文共同第一作者,黄辉教授、史钦钦副教授和Tobin J. Marks教授为本文共同通讯作者。以上工作得到国家自然科学基金委、中科院及国科大的支持。

   文章链接:https://www.nature.com/articles/s41467-021-27832-1


4045